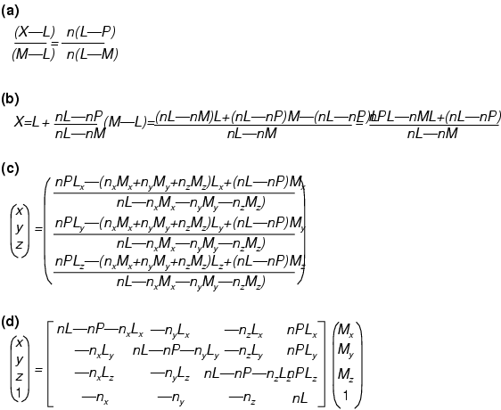
Example 1: Planar shadows.

Back to Article