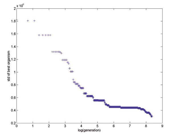
Figure 2: Convergence (standard deviation) of best solution plotted against the log of genetic algorithm generations.

Back to Article