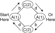
Figure 3: Traversal for determining symmetry orders. Recursively visit all nodes and edges by traversing to the lowest equivalence class through the lowest node first.

Back to Article