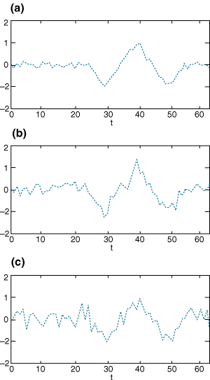
Figure 2: Noisy echo responses: (a) standard deviation=0.1; (b) standard deviation=0.2; (c) standard deviation= 0.3.

Back to Article