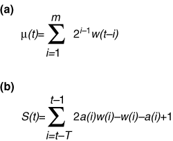
Example 1: (a) History bit strings; (b) total point score S(t).

Back to Article