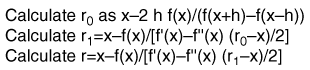
Figure 1: The empirical improvement for using Example 2.

Back to Article