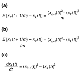
Figure 3: Performance determination for two hash functions. (a) Expected change when a new key arrives; (b) rewriting (a); and (c) a differential equation approximation for (b).

Back to Article