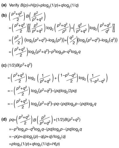
Figure 3: Verifying that B(p)=H(p), the entropy function.

Back to Article