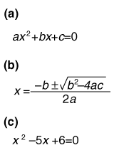
Example 1: Evaluating expressions step by step.

Back to Article