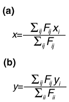
Figure 3: The initial guess.

Back to Article