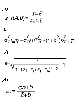
Figure 2: Test statistic I.

Back to Article