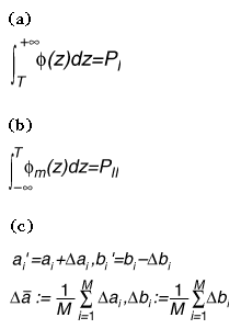
Figure 1: Embedding the watermark.

Back to Article