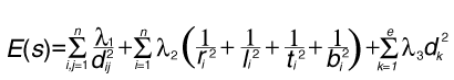
Figure 2: The Energy function.

Back to Article