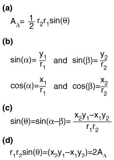
Example 2: (a) Area of triangle 0P
1
P
2
; (b) applying definition of sine and cosine; (c) using the identity sin(xx-xx); (d) multiplying both sides of (c) by r
1
r
2
you arrive at this.
Back to Article