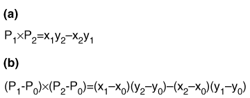
Example 1: (a) Formula for determining the value of the cross product; (b) modified formula for the cross product.

Back to Article