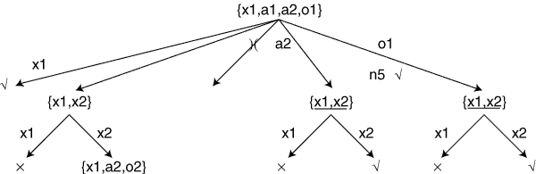
Figure 7: A different pruned HS-tree for the adder example.

Back to Article