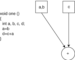
Figure 3: A simple CAG for a sequential set of instructions.

Back to Article