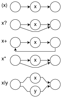
Figure 1: Special operators representation.

Back to Article