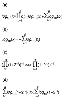
Figure 4: Algorithm for Log
10
(x) and convergence for Log
10
(x) and 10
x
.
Back to Article