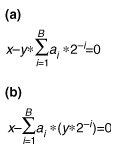
Figure 3: A CORDIC division algorithm.

Back to Article