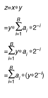
Figure 2: A CORDIC algorithm for multiplication.

Back to Article