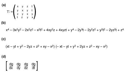
Example 3: Equations for rapid prototyping.

Back to Article