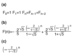
Example 1: Equations for Fibonacci example.

Back to Article