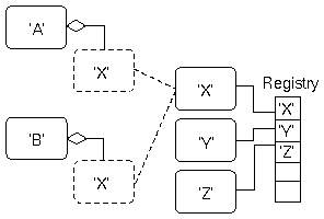
Figure 9: Making objects unique using a registry.

Back to Article
Copyright © 1999, Dr. Dobb's Journal