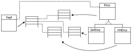
Figure 16: Complex translation from an object association to multiple database relationships.

Back to Article
Copyright © 1999, Dr. Dobb's Journal