Implementing Fast DCTs

By Tim Kientzle

Dr. Dobb's Journal March 1999

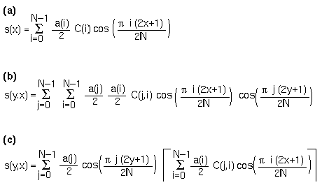
Figure 2: Inverse DCT equations. C is the DCT coefficients, s is the output samples. a(x) is 1/sqrt(2) if x is 0, 1 otherwise; (a) one-dimensional; (b) two-dimensional; (c) two-dimensional, rewritten to show separation.

Back to Article


Copyright © 1999, Dr. Dobb's Journal