Implementing Fast DCTs

By Tim Kientzle

Dr. Dobb's Journal March 1999

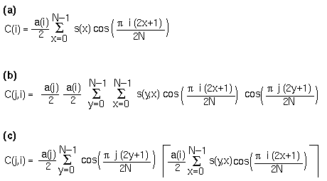
Figure 1: Forward DCT equations. s is the input samples, C is the resulting coefficients. a(x) is 1/sqrt(2) if x is 0, 1 otherwise. Typically, N=8; (a) one-dimensional; (b) two-dimensional; (c) two-dimensional, rewritten to show separation.

Back to Article


Copyright © 1999, Dr. Dobb's Journal