Simulating Severe Weather

By Louis J. Wicker

Dr. Dobb's Journal March 1999

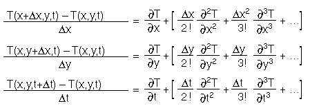
Example 4: Partial derivative equation in terms of temperature and time.

Back to Article


Copyright © 1999, Dr. Dobb's Journal