Profile-Guided Optimizations

By Gary Carleton, Knud Kirkegaard, and David Sehr

Dr. Dobb's Journal May 1998

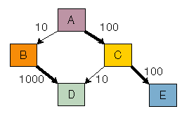
Figure 4: Call graph.

Back to Article


Copyright © 1998, Dr. Dobb's Journal