Algorithms for High-Precision Finite Differences

By Michael Herstine

Dr. Dobb's Journal May 1998

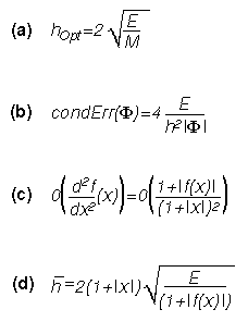
Example 3: (a) Step size for forward differencing; (b) condition error in estimating the second derivative is calculated; (c) obtaining an initial estimate of h; (d) optimal interval.

Back to Article


Copyright © 1998, Dr. Dobb's Journal