Algorithms for High-Precision Finite Differences

By Michael Herstine

Dr. Dobb's Journal May 1998

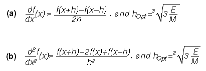
Example 2: (a) Difference approximation to the first derivative; (b) difference approximation to the second derivative.

Back to Article


Copyright © 1998, Dr. Dobb's Journal