Algorithms for High-Precision Finite Differences

By Michael Herstine

Dr. Dobb's Journal May 1998

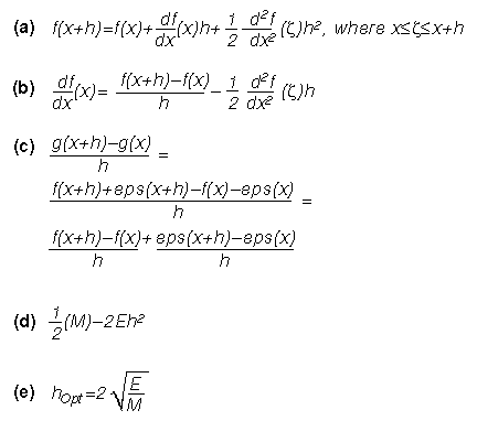
Example 1: (a) Taylor's theorem; (b) solving for df/dx; (c) actual estimate; (d) computed estimate; (e) solving for h.

Back to Article


Copyright © 1998, Dr. Dobb's Journal