Adaptive Delta Modulation

By Gary D. Knott

Dr. Dobb's Journal April 1998

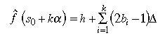
Example 1: Delta-modulation basics.

Back to Article


Copyright © 1998, Dr. Dobb's Journal