Modeling with MatLab

By Mark Weaver

Dr. Dobb's Journal November 1997

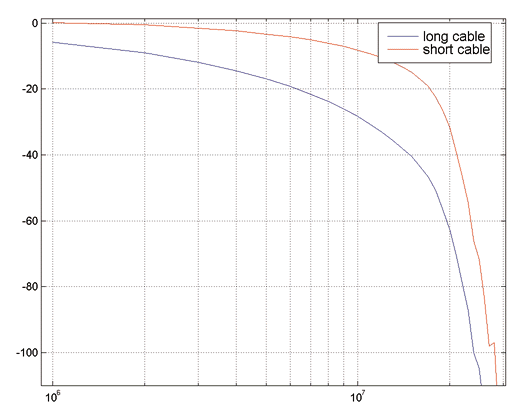
Figure 5: dB loss and gain for long and short cables.

Back to Article


Copyright © 1997, Dr. Dobb's Journal