By Andy Ramm

Dr. Dobb's Journal September 1997

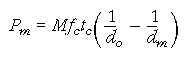
Figure 2: The use of small tc values and a wide angle of view (at least 40 degrees horizontal) tends to produce the best parallax.

Back to Article


Copyright © 1997, Dr. Dobb's Journal