Topological Sorting

By Jonathan Pincus and Jerry Schwarz

Dr. Dobb's Journal August 1997

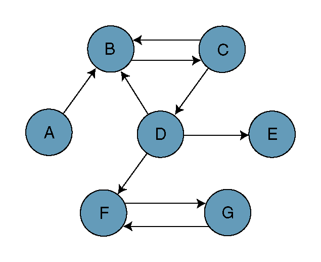
Figure 3: The cycles in this diagram require special consideration.

Back to Article


Copyright © 1997, Dr. Dobb's Journal