Implicit Surfaces and Real-Time Graphics

By Kyle Lussier

Dr. Dobb's Journal July 1997

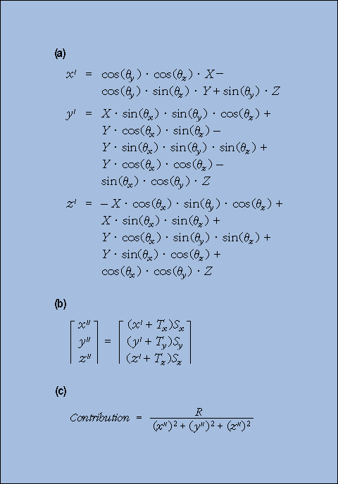
Figure 4: (a) Rotation component of space(x,y,z) in MGSM; (b) Translation and Stretching component of space(x,y,z) in MGSM; (c) implicit sphere equation in shape component of MGSM.

Back to Article


Copyright © 1997, Dr. Dobb's Journal