Implicit Surfaces and Real-Time Graphics

By Kyle Lussier

Dr. Dobb's Journal July 1997

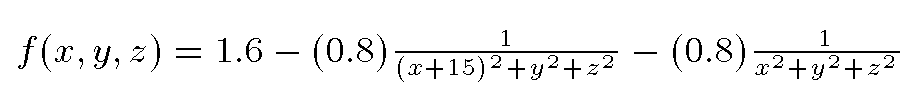
Figure 1: Function that describes the implicit surface of a two-component blob.

Back to Article


Copyright © 1997, Dr. Dobb's Journal