CLIPS: C Language Integrated Production System

By John Swartz

Dr. Dobb's Journal June 1997

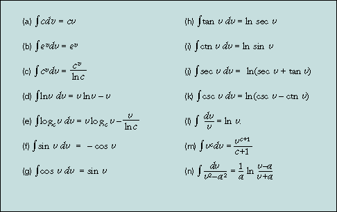
Figure 1: Fourteen of Slagle's 26 standard forms.

Back to Article


Copyright © 1997, Dr. Dobb's Journal