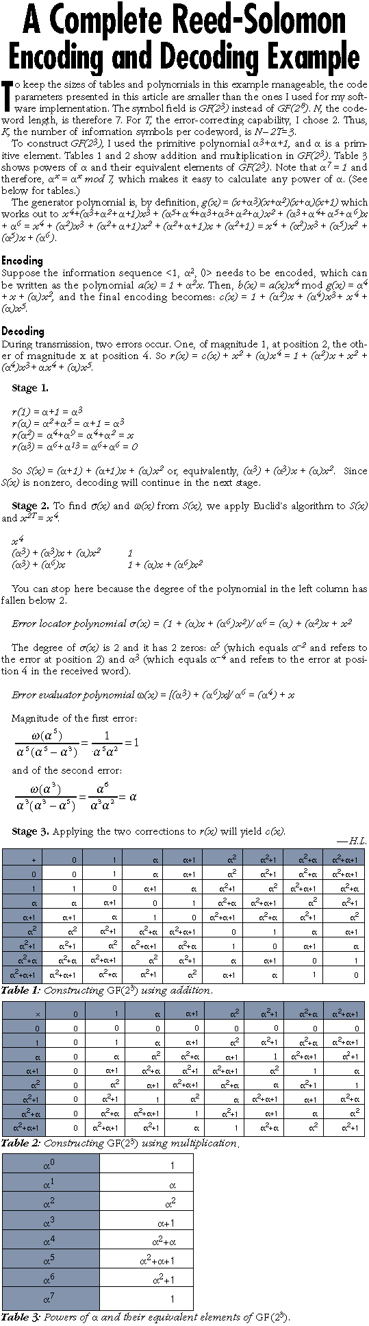
Dr. Dobb's Journal January 1997


Copyright © 1997, Dr. Dobb's Journal