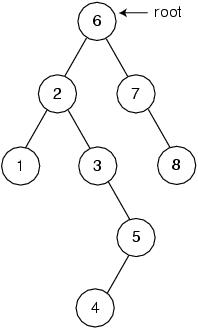
Figure 4: Splay operations.