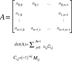
Figure 1: Cofactor expansion.