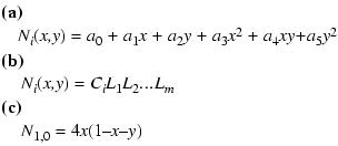
Example 2