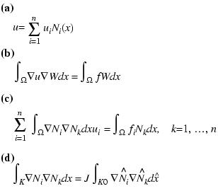
Example 1