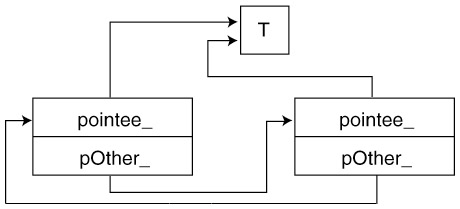
Figure 2: Second scenario: Two smart pointers pointing to the same resource.