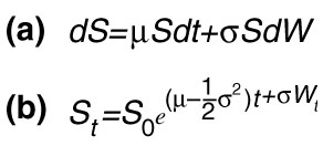
Example 3: Solving an SDE.