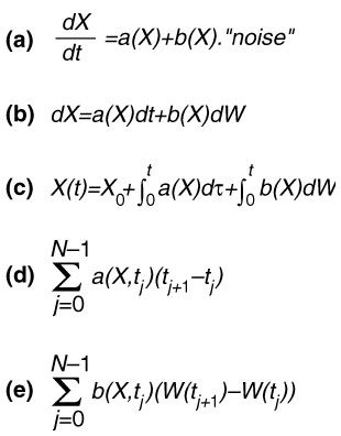
Example 1: Stochastic differential equations.