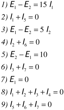
Figure 2: Equations produced by the circuit in Figure 1