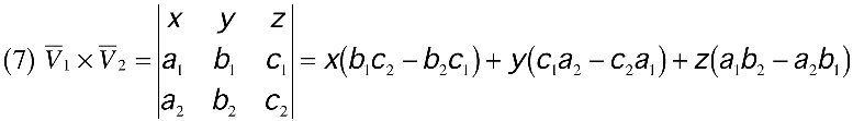
Equation 7