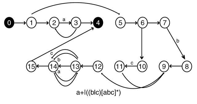
Figure 2: A finite automation graph derived from a regular expression